维通利华2024年推出的新品ZSF1大鼠:该模型兼具肥胖、II型糖尿病和自发性高血压心衰的背景,具备复杂的代谢综合征特性,并进一步引发糖肾(DN)和射血分数保留的心衰(HFpEF)。大量的研究数据表明该模型模拟了临床患者多因素导致糖肾和HFpEF的转录及表型信息,是一种高潜力的临床转化模型。
随着美国心脏协会(AHA)2023年正式提出心血管-肾脏-代谢综合征(CKM)的全新概念,学术界与医药界对这类多系统交织的复杂疾病有了更深刻的认知。CKM综合征是一种全身性疾病,以代谢性危险因素(肥胖、糖尿病)、慢性肾病与心血管疾病之间的病理生理相互作用为特征,可导致多器官功能障碍和较高的心血管不良结局风险[1]。由心肾综合征(Cardiorenal syndrome,CRS)到CKM的扩展不仅表明了单纯关注心脏及肾脏的功能异常对认识此类疾病的局限性,还强调了代谢功能异常在CKM发病中的重要作用。

CKM综合征临床分期[1]
预防因肥胖或代谢功能失调导致的代谢综合征
治疗危险因素,预防心血管疾病进展和肾衰竭
预防亚临床心血管疾病进展为有症状CVD与肾衰竭
针对心血管疾病进行个体化治疗
全球与CKM相关的并发合并症的患病率约为25%-30%,反映了这一多病共存状况的严峻性[2]。在这一研究背景下,ZSF1大鼠模型凭借其独特的遗传背景与高度模拟临床的表型特征,正成为推动CKM机制探索与药物研发的重要工具。
ZSF1大鼠是雌性ZDF(肥胖2型糖尿病)与雄性SHHF(自发性高血压心衰)大鼠杂交一代,胖型大鼠前期表现出自发性肥胖、高血糖、高血压、血脂异常和胰岛素抵抗等多重代谢紊乱特征,模拟了CKM综合征1-2期的代谢危险因素; 在复杂代谢功能异常下,胖型ZSF1大鼠进一步出现左室肥厚和心功能下降,最终进展为心力衰竭;同时肾小球硬化、间质纤维化进行性加重,与人类CKM综合征3-4期的多器官损伤高度一致。
肥胖:ZSF1大鼠胖型体重在14w-32w显著高于瘦型对照(P<0.001)。

糖尿病:ZSF1大鼠胖型随机血糖(16w)、糖化血红蛋白(HbA1c)(18w、21w与25w)显著高于瘦型对照(p<0.0001,p<0.001);糖耐量(OGTT)实验中,胖型血糖峰值接近20mmol/L,且胖型曲线下面积(AUC)也显著高于瘦型对照(P<0.001),呈现明显胰岛素抵抗。

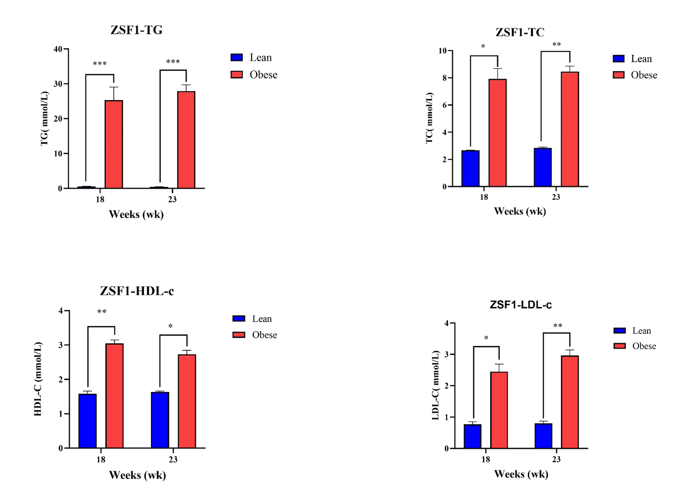
血脂异常:ZSF1大鼠胖型在18w与23w时,血脂四项与瘦型相比均显著升高。

早期病变:ZSF1大鼠胖型在5w时, ACR(尿微量白蛋白/肌酐比值)开始升高与瘦型相比差异显著(p<0.05),eGFR(肾小球滤过率)随着时间推移逐渐降低,两者均提示肾小球功能受损。

中期病变:ZSF1大鼠胖型在23w出现典型肾病理变化 ——肾小球基底膜增厚、系膜增生,肾小管间质炎性细胞浸润,肾纤维化。

HE染色:肾小球基底膜中度增厚、肾小球系膜中度增生(黑色箭头);
PAS染色:肾小球基底膜增厚、肾小球系膜增生(黑色箭头)、局灶性肾小管基底膜增厚(红色箭头);
天狼星红染色:肾脏间质纤维化(黑色箭头)。
终末期肾病(ESRD):ZSF1大鼠在47w时,胖型与瘦型相比血清中肌酐(Cr)、尿素氮(BUN)均显著升高,病理显肾小球硬化指数与肾小管扩张评分也显著增加。


炎症评分、肾小球硬化指数、肾小管扩张评分、总评分。
ZSF1大鼠可模拟人类HFpEF疾病进展,但病变进程缓慢。有研究结果表明,为加速 ZSF1 大鼠心肾病变进程,可采用缓释泵技术进行血管紧张素II(AngII)持续皮下灌注4-6周来实现。
AngII是肾素-血管紧张素-醛固酮系统(RAAS)的核心分子,主要通过AT1受体发挥作用,具有强烈的血管收缩、升高血压、促进炎症和纤维化的作用。在ZSF1大鼠代谢异常的背景下,AngII的加入模拟了激素应激和血流动力学应激的叠加效应,进一步放大RAAS激活的致病作用,从而使得ZSF1大鼠在短时间内表现出明显的高血压、舒张功能障碍(射血分数仍保留)和肾功能损伤,成功模拟CKM(心-肾-代谢)模型 [3]。
William Riboulet的研究结果显示,注射血管紧张素6w后,模型(胖型-AngII)与对照(胖型-Vehicle)相比在32w时平均动脉压、左室重量与体重比均升高,射血分数显著降低。


ZSF1大鼠模型因其高度模拟人类CKM综合征代谢紊乱、高血压、心肾功能进行性恶化等病理特征,成为研究该领域的理想工具,将极大促进新型药物在CKM研究领域的突破。
更多该模型的相关数据可咨询产品经理。
产品咨询:Product@criver.cn
[1] NDUMELE C E, RANGASWAMI J, CHOW S L, et al. Cardiovascular-Kidney-Metabolic Health: A Presidential Advisory From the American Heart Association[J]. Circulation, 2023, 148(20):1606–1635.
[2] Ostrominski JW, et al Prevalence and overlap of cardiac, renal, and metabolic conditions in US adults, 1999-2020. JAMA Cardiol. 2023; 8:1050.
[3] William Riboulet. ZSF1 rat: a model of chronic cardiac and renal diseases in the context of metabolic syndrome. Characterization with anti-oxidant, mineralocorticoid receptor antagonist and aldosterone synthase inhibitor. Human health and pathology. Université de Lorraine, 2015.